项目简介
白塞病(Behcet's disease,BD)是一种全身性、慢性、血管炎性疾病。临床上以口腔溃疡、生殖器溃疡、眼炎及皮肤损害为突出表现。该病常累及神经系统、消化道、肺、肾以 及附睾等器官。BD一旦有脏器受累,常反复发作,并可引起血栓、失明,白塞脑病,消化道穿孔等严重并发症,甚至引起患者死亡。由于目前血清中尚无理想的特异性的诊断抗体,致使早期不典型白塞病的诊断及早期治疗成为风湿科的难题。基于现状,迫切要求找到白塞病的 早期特异的生物标记物。
临床实践中可对BD进行高特异性临床诊断和预后风险评估的生物标志物仍为空白。目前常用的抗内皮细胞抗体(AECA)达不到诊断标志物高特异性的标准,仅能提供一定参考,且AECA检测试剂依赖西方企业试剂进口,无法实现自主可控。本成果TUBA抗体对白塞病的诊断敏感性达到50%以上,特异性接近90%,均显著优于目前临床常用的标志物抗内皮细胞抗体(AECA)。如能将两者结合使用,可以将白塞病的诊断敏感性提高到90%以上,填补了白塞病特异性血清诊断标志物的缺乏。同时,在BD中抗TUBA抗体水平升高也可提示BD患者的疾病活动程度和血栓发生风险,进一步证明该成果具有重要临床应用价值。
应用范围
用于辅助白塞病的临床诊断和病情评估,适用于疑似白塞病和需要与白塞病鉴别诊断的血管炎类疾病患者的临床检验。
项目阶段
本项目已完成临床前研究,论文已发表并获得国家发明专利。有待进一步的成品试剂盒研发和基于试剂盒的大样本量的测试。

图1抗TUBA抗体在BD患者中阳性率显著高于其他对照疾病和健康人。应用间接ELISA方法检测TUBA抗体在BD、SLE、复发性口腔溃疡(RAU)、大动脉炎、ANCA相关血管炎患者以及健康对照的水平(AU值表示),独立样本的t检验结果提示BD患者抗TUBA抗体水平明显高于健康对照组(72.80±37.5vs35.13±17.67,t=6.114,p<0.001)和各疾病对照组。RAU、大动脉炎、ANCA相关血管炎患者血清抗TUBA抗体与健康对照未得出统计学差异。

表1抗TUBA抗体诊断白塞病的敏感性和特异性。

表2抗TUBA抗体与AECA诊断白塞病的敏感性和特异性比较:抗TUBA抗体诊断BD的效率,也显著优于目前临床常用于血管炎和BD诊断的参考标志物抗内皮细胞抗体(AECA),如表2所示,两者联合诊断,可将诊断特异性提高至90%以上。
知识产权
专利号:ZL201510161229.8

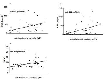
图2抗TUBA抗体水平与ESR、CRP、BVAS正相关,说明其也可用于评估BD疾病活动程度。

表3抗TUBA抗体阳性患者发生深静脉血栓以及皮肤结节红斑的阳性率明显高于抗TUBA抗体阴性组,因此抗TUBA抗体除了用于BD诊断,还可用于BD疾病活动监测和未来血栓发生的风险评估。
合作方式
合作开发、技术转让。
联系方式
电子信箱:kjkfb@pku.edu.cn